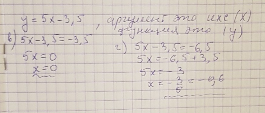
Найдите значение аргумента , при котором у=5х-3,5 принимает значение в) -3,5; г) -6,5 как это решается? ??? Помогите пожалуйста! !!
Ответы
Ответ дал:
0
решение задания смотри на фотографии
Приложения:

Вас заинтересует
2 года назад
3 года назад
9 лет назад
9 лет назад
9 лет назад
9 лет назад