Ответы
Ответ дал:
0
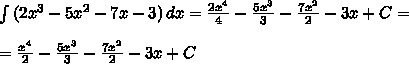
Вот держи ответ это правильно!
Приложения:

Ответ дал:
0
Это неверное решение
Ответ дал:
0
Почему
Ответ дал:
0
Я проверил а ты нет как ты можешь сказать что это неправильно?
Ответ дал:
0
Объясни откуда 7 и 3
Вас заинтересует
2 года назад
3 года назад
9 лет назад
9 лет назад
9 лет назад