• Предмет: Алгебра
  • Автор: saha5615
  • Вопрос задан 8 лет назад

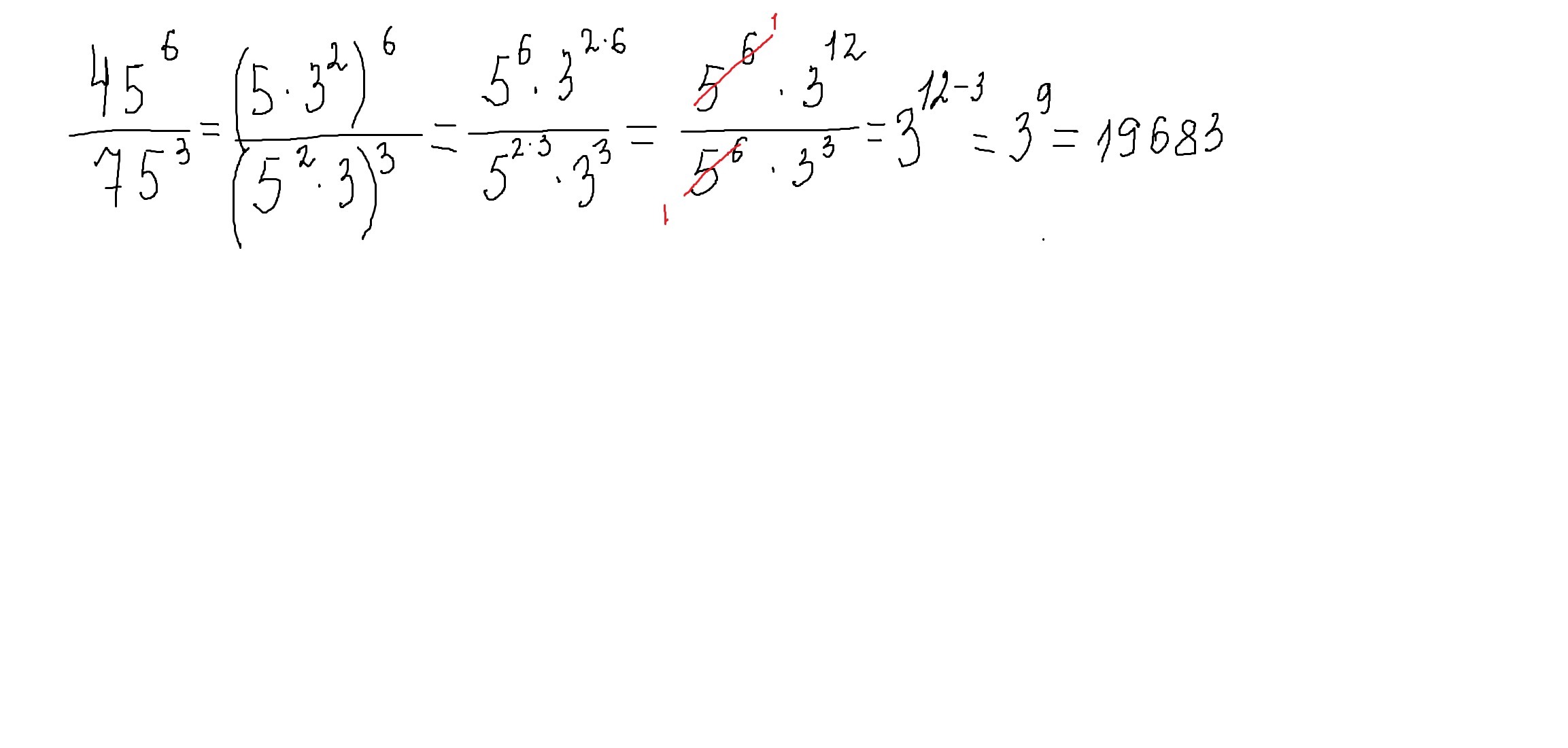
45^6:75^3 помогите пожалуйста!!!

Ответы

Ответ дал: Аноним
0
45^6:75^3
45^6/75^3
19683
Ответ:19683
Ответ дал: Аноним
0
не делай больше таких глупых ошибок (ты понял о чём я)
Ответ дал: saha5615
0
а как именно вы нашли ответ, если можно подробнее заранее спасибо
Ответ дал: Аноним
0
сначало мы записали деление в виде дробе (это уже ответ) потом мы преобразовали дробь в число всё просто
Ответ дал: saha5615
0
спасибо я разобралась
Ответ дал: parus77
0

применяя св-во степеней получаем:

Приложения:
Вас заинтересует