• Предмет: Алгебра
  • Автор: alikonkamakarovna
  • Вопрос задан 8 лет назад

Пожалуйста, помогите! Какой верный ответ?

Приложения:

Ответы

Ответ дал: parus77
0

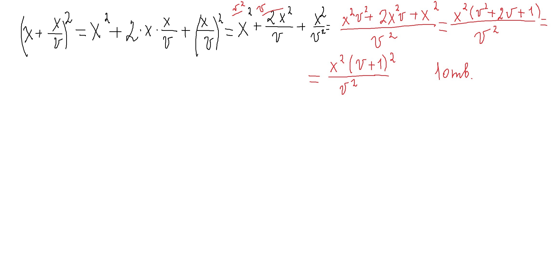
верный ответ первый.решение смотри внизу

Приложения:
Вас заинтересует