• Предмет: Математика
  • Автор: via61
  • Вопрос задан 8 лет назад

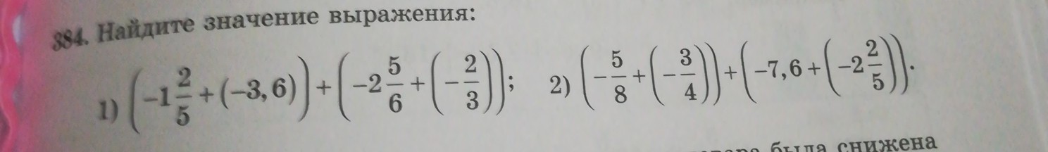
решите по действиям ;(

Приложения:

Ответы

Ответ дал: tatsach
0

1)-1 2/5+(-3,6)=-1,4-3,6=-5

-2 5/6+(-2/3)=-2 5/6-4/6=-2 9/6=-3 1/2

-5+(-3 1/2)=-5-3 1/2=-8 1/2


2)-5/8+(-3/4)=-5/8-6/8=-11/8=-1 3/8

-7,6+(-2 2/5)=-7,6-2,4=-10

-1 3/8+(-10)=-1 3/8-10=-11 3/8

Ответ дал: barinova83
0

решение примеров на фото

Приложения:
Ответ дал: barinova83
0
Во втором примере я ошиблась в ответе будет -11 3/8
Вас заинтересует