• Предмет: Алгебра
  • Автор: mimi000
  • Вопрос задан 8 лет назад

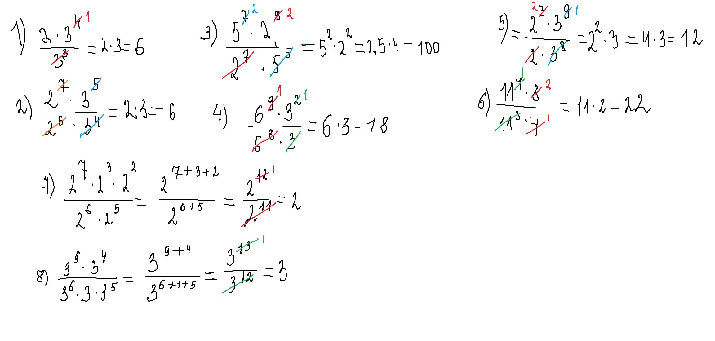
Ребят решите 535 пж я не могу

Приложения:

Ответы

Ответ дал: Irinka1425
0

1)6, 2)6, 4)18, 5)12, 6)22

Ответ дал: parus77
0

при делении степеней с одинаковыми основаниями показатели вычитаются,а при умножении-складываются.решение смотри внизу.

Приложения:
Вас заинтересует