Ответы
Ответ дал:
0
Решение задания приложено
Приложения:

Ответ дал:
0
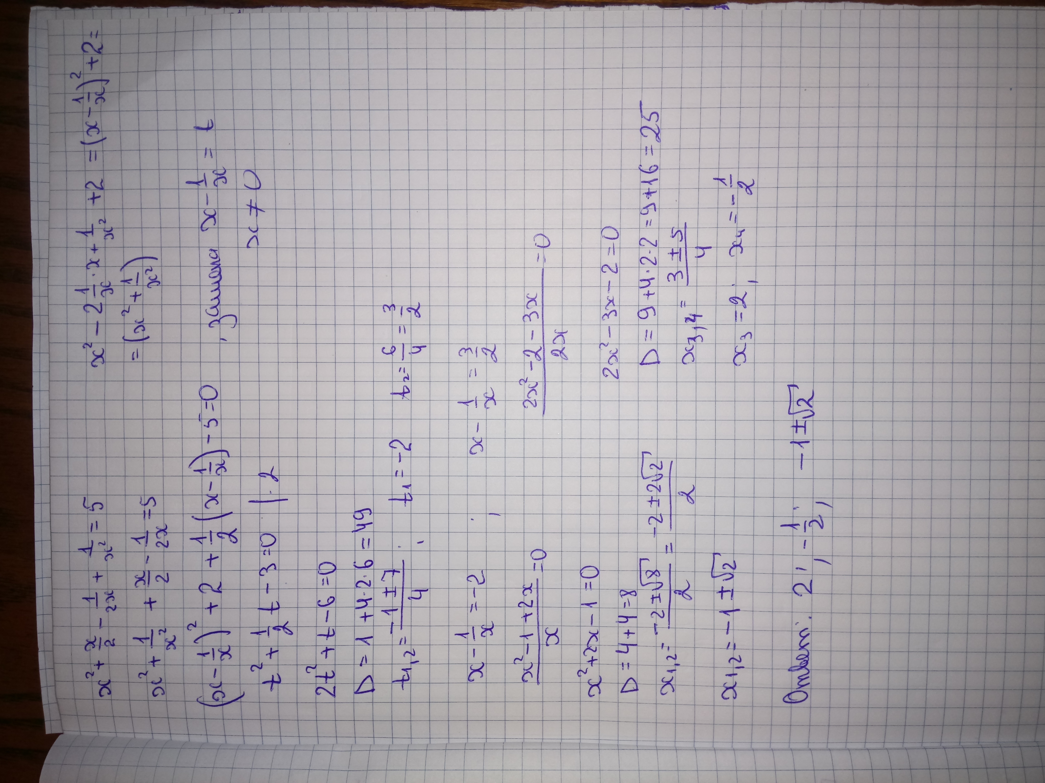
task/30172267 решить уравнение x² + x / 2 -1 / 2x + 1/x² = 5
x² +1 / x² + (1/2)*( x - 1/x) -5 =0⇔ (x -1/x)² + 2+ (1/2)*( x - 1/x) - 5 =0 ⇔
2(x - 1 / x) ² + (x - 1 / x) - 6 =0 замена : x - 1/x = t ;
2t² + t - 6 =0 D = 1² -4*2*(-6) =7² t = (- 1 ± 7 ) /4 , t₁ = -2 ; t₂ = 3/2 .
обратная замена
а) x - 1 / x = - 2 || x ≠0 || ⇔ x² +2x -1 =0 ⇔ x = -1 ±√2 .
x₁ = - 1 - √2 , x₂ = - 1 +√2 .
б) x - 1 / x = 3/2 2x ²- 3x -2 = 0 =0 || D =3² -4*2(-2) =5² ⇔ x = (3 ± 5)/4 .
x₃ = - 0 ,5 ; x₄ = 2 .
ответ : - 1 - √2 ; - 0 ,5 ; √2 - 1 ; 2 .
Приложения:

Вас заинтересует
2 года назад
3 года назад
3 года назад
9 лет назад
9 лет назад
9 лет назад