• Предмет: Математика
  • Автор: 1misskaprizzz5
  • Вопрос задан 8 лет назад

Найдите значение выражения :

Приложения:

Ответы

Ответ дал: 1Parviz
0

Решение:

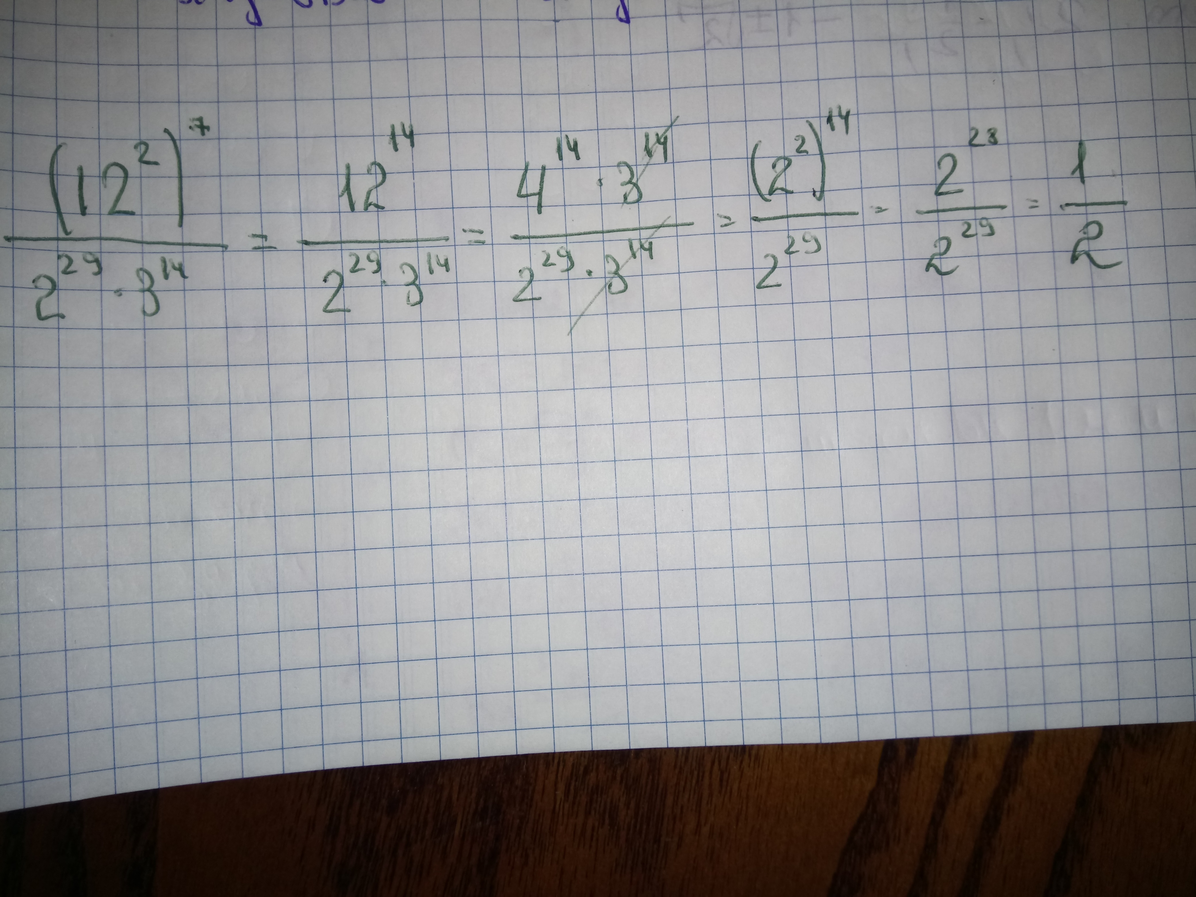
frac{(12^{2})^7} {2^{29} *3^{14}}=  frac{2^{28}*3^{14}}  {2^{29} *3^{14}}=frac{1}{2}

Ответ: 0,5.

Ответ дал: valenivan
0

Решение задания приложено

Приложения:
Вас заинтересует