• Предмет: Алгебра
  • Автор: arinadikaa358
  • Вопрос задан 8 лет назад

Помогите пожалуйста разобраться
Обязательно с графиком функции.

Приложения:

Ответы

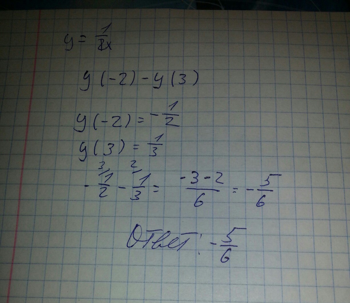
Ответ дал: TMin
0
как-то так. Не факт, что правильно, но я бы решила так
Приложения:
Вас заинтересует