• Предмет: Алгебра
  • Автор: Syrup75
  • Вопрос задан 8 лет назад

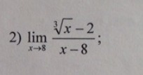
54Б Вычислить пределы функции

Приложения:

Ответы

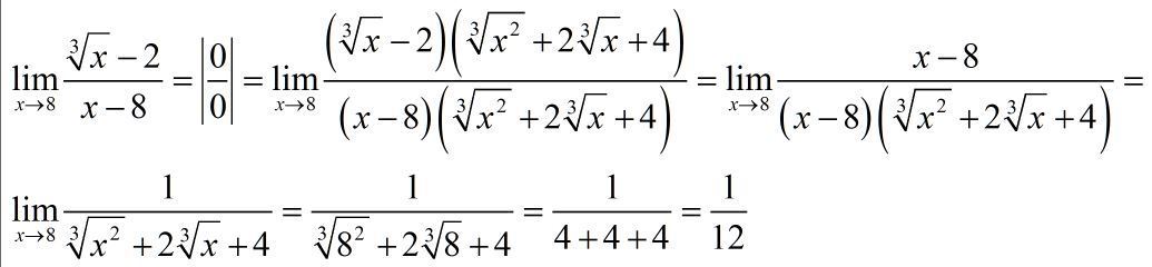
Ответ дал: Аноним
0

..................................................................................

Приложения:
Вас заинтересует