Ответы
Ответ дал:
0
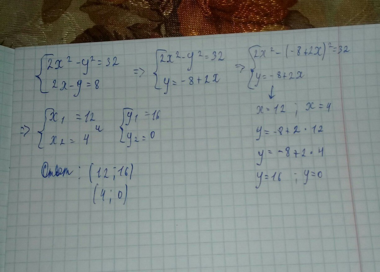
Решение и ответ прикреплен)
Приложения:

Ответ дал:
0
Домножим нижний пример на (-у)
{2х^2-у^2=32
{-2ху+у^2=8у
игрики в квадрате сокращаем
дальше сам
{2х^2-у^2=32
{-2ху+у^2=8у
игрики в квадрате сокращаем
дальше сам
Приложения:

Вас заинтересует
2 года назад
2 года назад
3 года назад
3 года назад
9 лет назад
9 лет назад
9 лет назад