• Предмет: Алгебра
  • Автор: марго456
  • Вопрос задан 11 лет назад

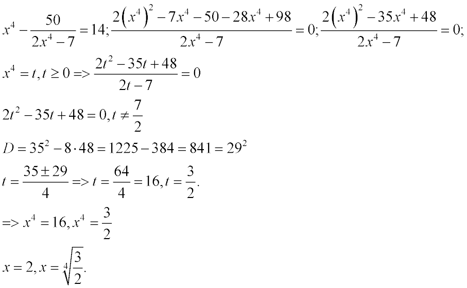
помогите решить уравнение
 х^4-50/2x^4-7=14

Ответы

Ответ дал: Tangodown
0
Проверь на всякий случай.
Приложения:
Вас заинтересует