• Предмет: Математика
  • Автор: sonyademidko
  • Вопрос задан 8 лет назад

ПОМОГИТЕ РЕШИТЬ ОЧЕНЬ СРОЧНО!!!!

Приложения:

Ответы

Ответ дал: ohhyunmin
0
надеюсь , что помог чем-то)
Приложения:
Ответ дал: Nadshes2103
0
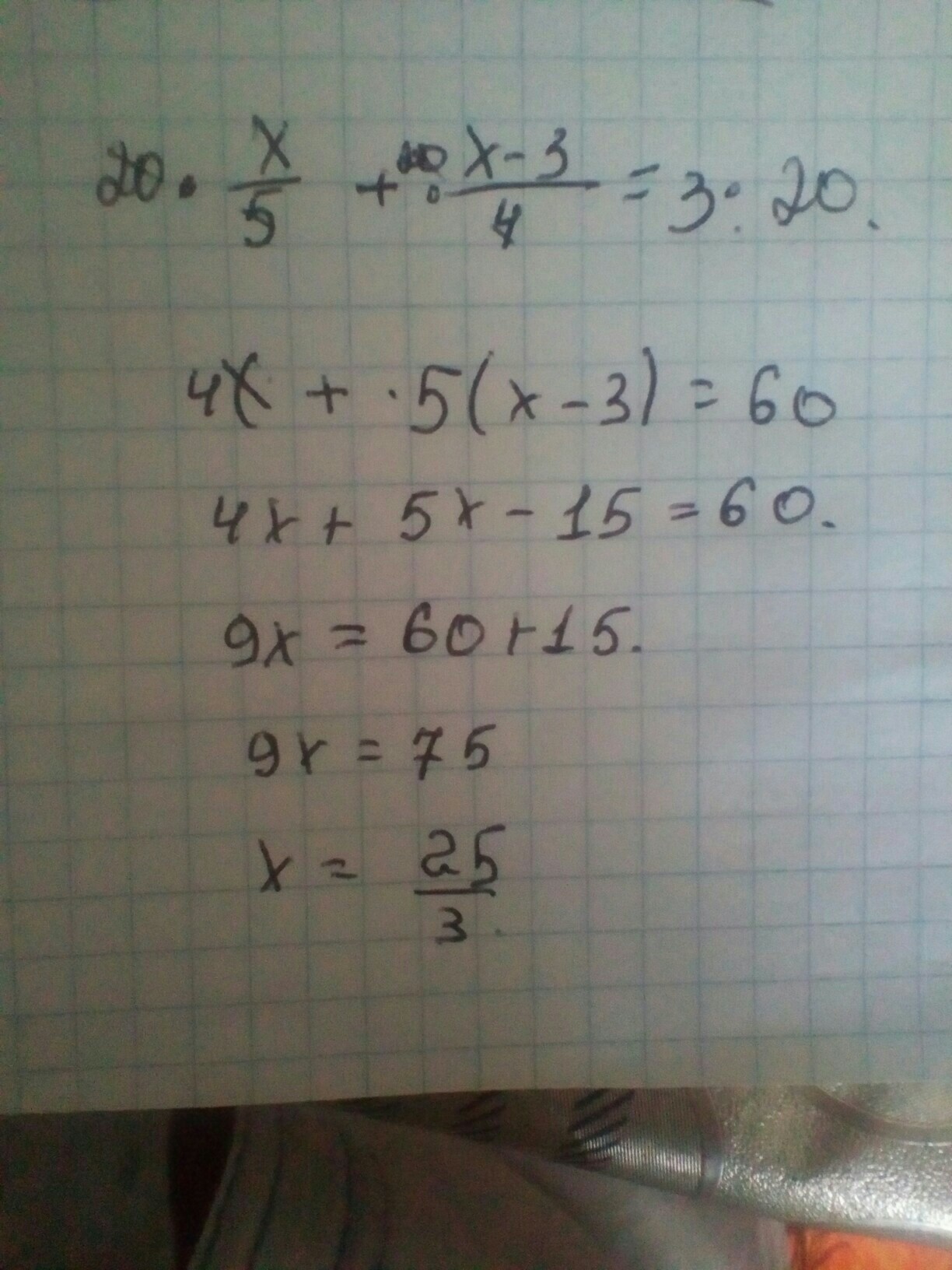
х/5 + х-3/4 = 3
4х +5(х-3)=60
4х+5х-15=60
9х-15=60
9х=60+15
9х=75
х=25/3, или 8.3
Приложения:
Вас заинтересует