• Предмет: Алгебра
  • Автор: dogmiroslava
  • Вопрос задан 8 лет назад

ПОЖАЛУЙСТА ПОМОГИТЕ ХОТЬ С ЧЕМ-НИБУДЬ!!!

Приложения:

Ответы

Ответ дал: nKrynka
0

Решение

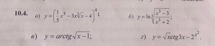
в) y = arctg√(x-1)

y` = {1/[1+(√(x-1))²]} * (1/2√(x-1) = (1/x)*[1/2√(x-1)] = 1/[2x√(x-1)]

Вас заинтересует