Ответы
Ответ дал:
0
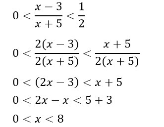
Ответ: х от 0 до 8
Смотри вложенное изображение
Приложения:

Ответ дал:
0
мне надо системой
Вас заинтересует
2 года назад
2 года назад
3 года назад
3 года назад
9 лет назад
9 лет назад
9 лет назад