• Предмет: Алгебра
  • Автор: lovenakrista
  • Вопрос задан 8 лет назад

Помогите пожалуйста!!!

Приложения:

Ответы

Ответ дал: qawkaz
0
..........................
Ответ дал: qawkaz
0
5a-5b/an
Ответ дал: parus77
0

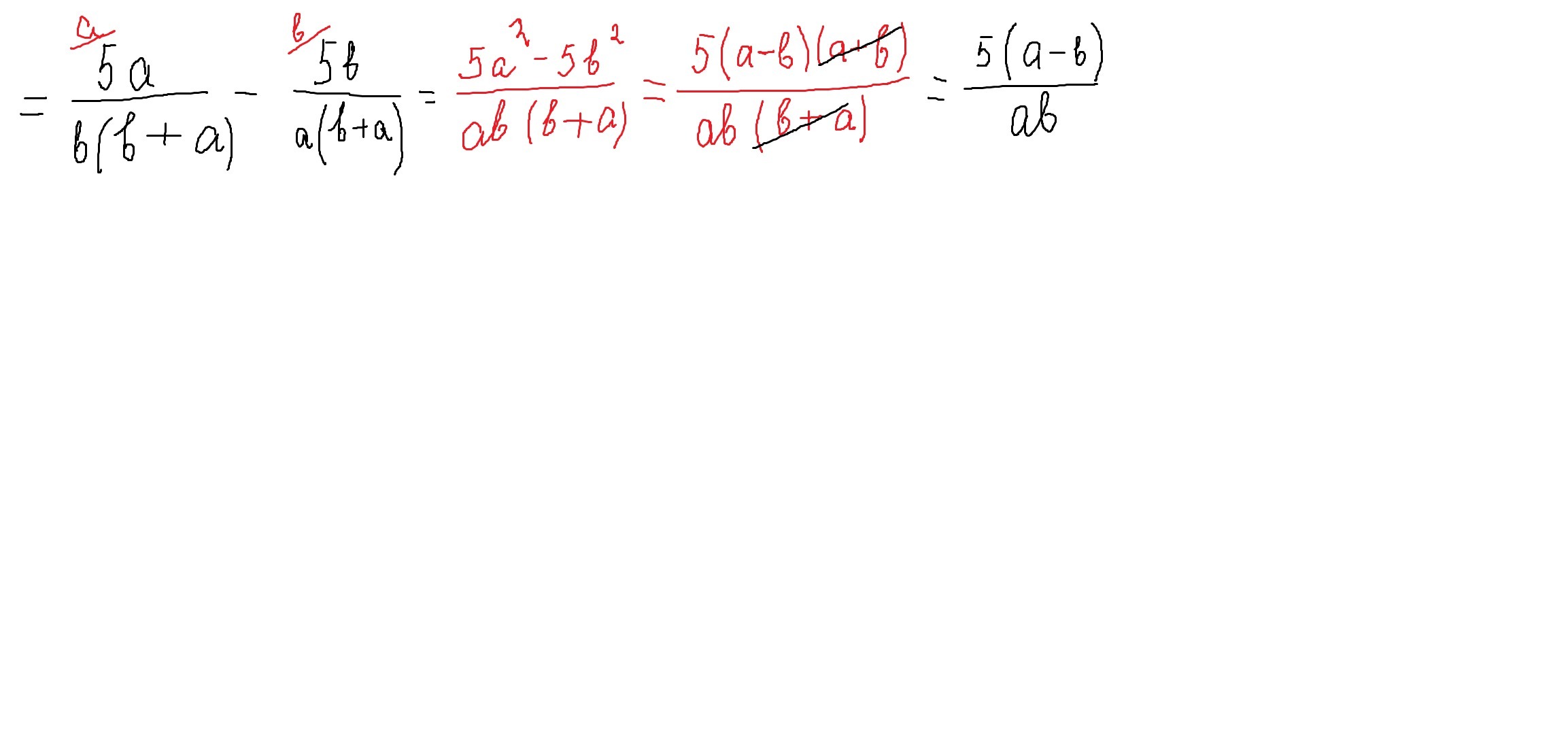
решение смотри внизу

Приложения:
Вас заинтересует