• Предмет: Алгебра
  • Автор: VikaShamd234
  • Вопрос задан 8 лет назад

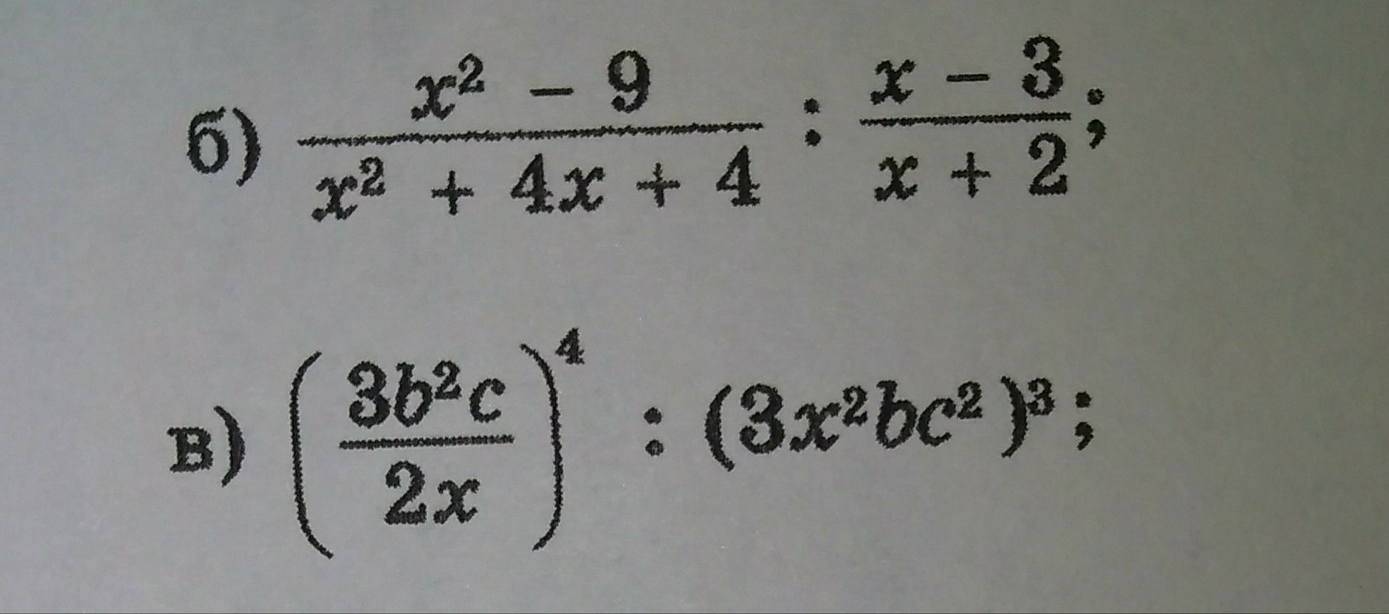
Помогите!!!!!!! 20-30 баллов!!!! Хотябы букву Б, просто очень надо!!!

Приложения:

Ответы

Ответ дал: Nina1952
0
Смотри ))))))))))))))))))))))))
Приложения:
Вас заинтересует