• Предмет: Алгебра
  • Автор: багира2202
  • Вопрос задан 8 лет назад

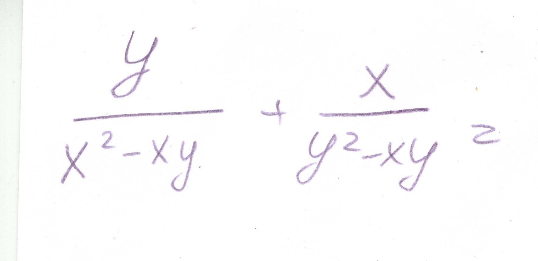
Помогите решить уравнение, с полным объяснением решения

Приложения:

Ответы

Ответ дал: AntVa
0

frac{y}{x^2-xy}-frac{x}{xy-y^2}=frac{y^2}{x^2y-xy^2}-frac{x^2}{x^2y-xy^2}=frac{-(x^2-y^2)}{xy(x-y)}=frac{-(x-y)(x+y)}{xy(x-y)}=-frac{x+y}{xy}

Ответ дал: zulfiy78
0
помогите решить запишите выражение в виде многочлен а стандартного вида 3+(2×+3)(3×-2)
Вас заинтересует