• Предмет: Математика
  • Автор: кущамба
  • Вопрос задан 11 лет назад

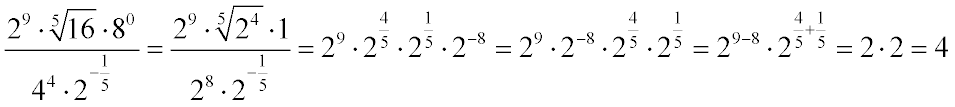
вычислить.
2^9х5^16x8^0/4^4x2-1/5

Приложения:

Ответы

Ответ дал: Tangodown
0
Проверь на всякий случай.
Приложения:
Вас заинтересует