• Предмет: Математика
  • Автор: owl58
  • Вопрос задан 8 лет назад

ПОМОГИТЕ!!!
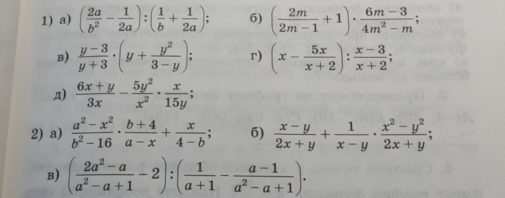
В первом номере (г)
Во втором номере (в)

Приложения:

Ответы

Ответ дал: гюйс
0

г)

.....=frac{x(x+2)-5x}{x+2} *frac{x+2}{x-3} =frac{x^{2}+2x-5x}{x+2} *frac{x+2}{x-3} =frac{x^{2}-3x}{x-3} =frac{x(x-3)}{x-3} =x


в)

........=frac{2a^{2}-a-2a^{2}+2a-2}{a^{2}-a+1} :frac{a^{2}-a+1-(a-1)(a+1)}{(a+1)(a^{2}-a+1)} =\ \ frac{a-2}{a^{2}-a+1} *frac{(a+1)(a^{2}-a+1)}{a^{2}-a+1-a^{2}+1} =frac{(a-2)(a+1)}{2-a} =-frac{(2-a)(a+1)}{2-a} =-(a+1)=-a-1

Вас заинтересует