Ответы
Ответ дал:
0
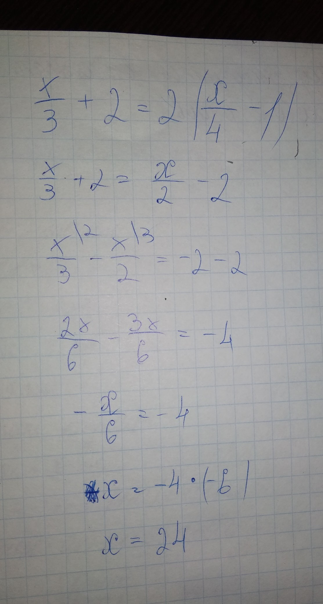
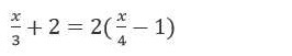
вот держи, но я не уверена, что правильно
Приложения:

Ответ дал:
0
Спасибо красапэпа ;)
Ответ дал:
0
не за что
Вас заинтересует
2 года назад
2 года назад
3 года назад
3 года назад
9 лет назад
9 лет назад