• Предмет: Алгебра
  • Автор: SATANAsatanov
  • Вопрос задан 8 лет назад

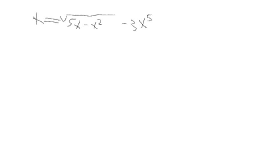
найдите облость определения функции (решите уравнение)

Приложения:

Ответы

Ответ дал: MizoriesKun
0

5х-х² ≥0

х*(5-х) ≥ 0

х≥0

5-х≥0  х≤5  х∈[0 ;5]

--------------------------------

х≤0

5-х≤0  х≥ 5     х∈∅


Ответ :  х∈[0 ;5]

Вас заинтересует