• Предмет: Алгебра
  • Автор: pisetskiyjeka
  • Вопрос задан 8 лет назад

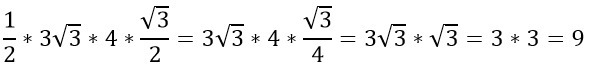
1/2*3√3*4*√3/2
Пж решите

Ответы

Ответ дал: Lod2000
0

Ответ во вложенном изображении

Приложения:
Ответ дал: pisetskiyjeka
0
Спасибо!
Вас заинтересует