• Предмет: Алгебра
  • Автор: gamuxiray
  • Вопрос задан 8 лет назад

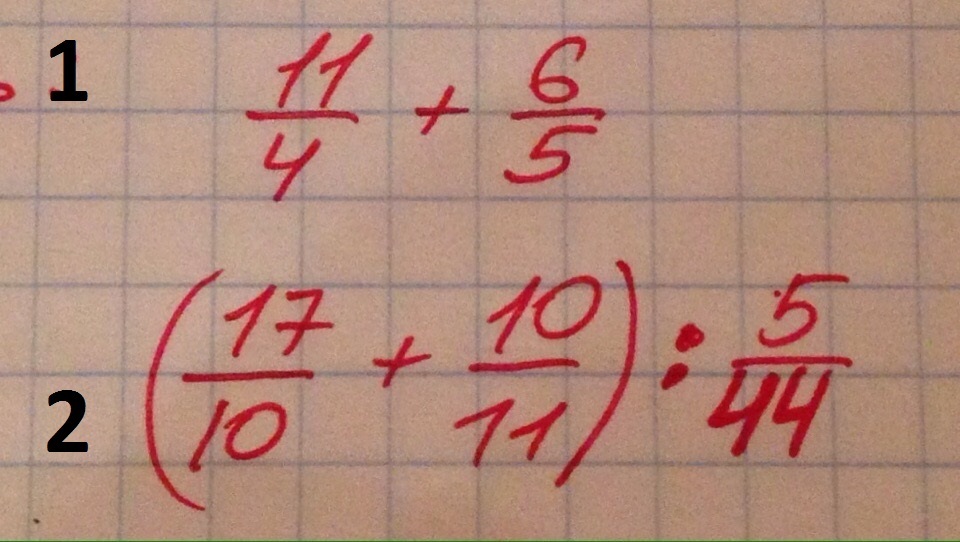
Помогите пожалуйста решить дробные примеры.

Приложения:

Ответы

Ответ дал: sdsdsdobrova1
0

Сначала приводим к общему знаменателю

1) 55/20 + 24/20 = 79/20= 3,95

2) (187/110 + 100/110 ) : 5/44 = 287/110 * 44/5= 574/25= 22,96

Ответ дал: kvolodkin1
0

1)

11/4+6/5=55/20+24/20=79/20=3 19/20

(17/10+10/11):5/44=287/110*44/5=22 24/25

Вас заинтересует