• Предмет: Математика
  • Автор: v3ct0r
  • Вопрос задан 8 лет назад

408, помогите пожалуйста

Приложения:

Ответы

Ответ дал: annautkina02
0

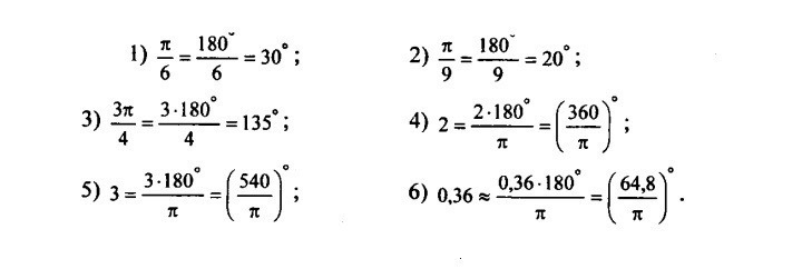
Ответ смотри на фото

Приложения:
Вас заинтересует