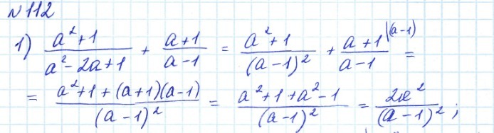
Почему в числителе (a+1)(a-1) получается a^²-1? Ведь там перемножаются два многочлена и должно получиться a²-a+-1. Почему так????
Приложения:

Ответы
Ответ дал:
0
это две разные формулы
Ответ дал:
0
аааа господи тооочно. спасибо большое))
Вас заинтересует
2 года назад
2 года назад
3 года назад
3 года назад
9 лет назад
9 лет назад
9 лет назад