• Предмет: Математика
  • Автор: Ученикточкару
  • Вопрос задан 8 лет назад

интеграл д икс дробь корень из x

Ответы

Ответ дал: LechK
0

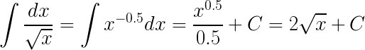
Все решение на прикрепленном изображении

Приложения:
Вас заинтересует