• Предмет: Алгебра
  • Автор: Thekristi098
  • Вопрос задан 8 лет назад

Ребята, выручайте! Без Вас никак!
Помогите разобраться в теме
Решите и подробно распишите!
Любую задачку, любое количество!
За отдельную благодарность можете Всё, хочу на ваших решениях понять тему и научиться решать эти тяжки задачи! Надеюсь на Вас!
Заранее огромное спасибо!
Помоги :)

найти пределы!

Приложения:

Ответы

Ответ дал: wturm
0
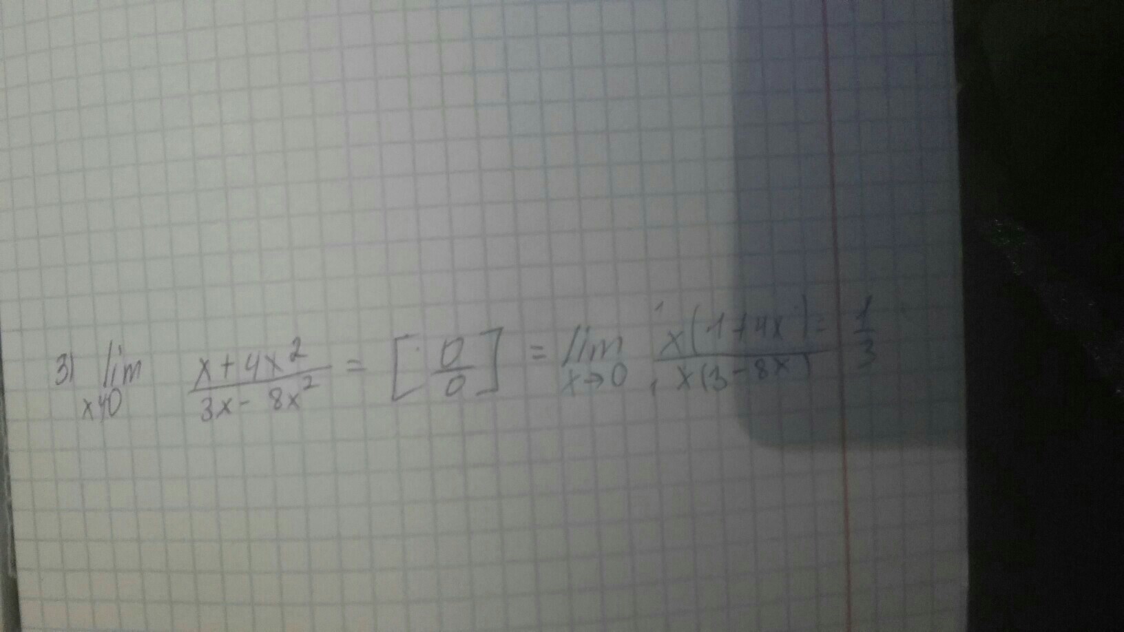
Добрый день! Пожалуйста!
Приложения:
Ответ дал: agalarovaleyla2004
0
спасибо. Просто я 7 к. это же корни? или как там
Ответ дал: wturm
0
это пределы)
Ответ дал: agalarovaleyla2004
0
спасибо буду знать
Ответ дал: wturm
0
пожалуйста!
Ответ дал: Thekristi098
0
спасибо!
Ответ дал: agalarovaleyla2004
0
так. Я так решила . Правильно или нет незнаю
Приложения:
Вас заинтересует