Здравствуйте, уважаемые эксперты! Прошу вас ответить на следующий вопрос:
Дана функция z=f(x,y) и две точки А(x0,y0) и B(x1,y1). Требуется: 1) вычислить значение z1 в точке B; 2) вычислить приближѐнное значение z1 функции в точке B, исходя из значения z0 функции в точке A и заменив приращение функции при переходе от точки A к точке B дифференциалом; 3) оценить в процентах относительную погрешность, получающуюся при замене приращения функции еѐ дифференциалом; 4) составить уравнение касательной плоскости к поверхности z=f(x,y) в точке C(x0,y0,z0).
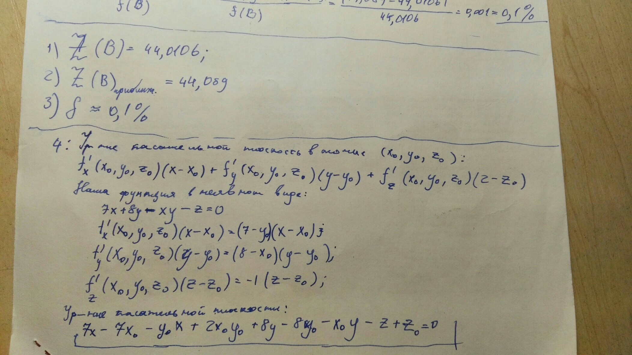
z=7x+8y-xy, A(5,3), B(4,98;3,03)
Ответы
Ответ дал:
0
Все расписано на листочке, спрашивай, если что-то непонятно, бро
Приложения:


Ответ дал:
0
дружище помоги еще с одной задаче край сдать надо а то задолженность,найти dx/dy и d^2y/dx^2 при заданном значении х
y=x^3*lnx,x=1
y=x^3*lnx,x=1
Ответ дал:
0
Правильное решение на картинке, но уравнение касательной -7x+7x0+y0x-2x0y0-8y+8y0+x0y+z-z0. dy/dx -- первая производная, d^2y/dx^2 -- вторая производная по икс.
dy/dx = (x^3*ln(x))' = ln(x) * (x^3)' + x^3 * (ln(x))' = 3x^2 * ln(x) + x^2. d^2y/dx^2 = d( dy/dx )/dx = (3x^2 * ln(x) + x^2)' = 6x * ln(x) + 5x.
dy/dx = (x^3*ln(x))' = ln(x) * (x^3)' + x^3 * (ln(x))' = 3x^2 * ln(x) + x^2. d^2y/dx^2 = d( dy/dx )/dx = (3x^2 * ln(x) + x^2)' = 6x * ln(x) + 5x.
Ответ дал:
0
Подставь в эти формулы вместо икса 1
Ответ дал:
0
Чертежи нормально строить не умею, сорри
Ответ дал:
0
привет,даже примерно не можешь?я вообще с этими функциями не дружу)
Вас заинтересует
2 года назад
2 года назад
3 года назад
3 года назад
9 лет назад
9 лет назад