Ответы
Ответ дал:
0
спэшл фо ю: разность квадратов и упрощение знать надо
Приложения:

Ответ дал:
0
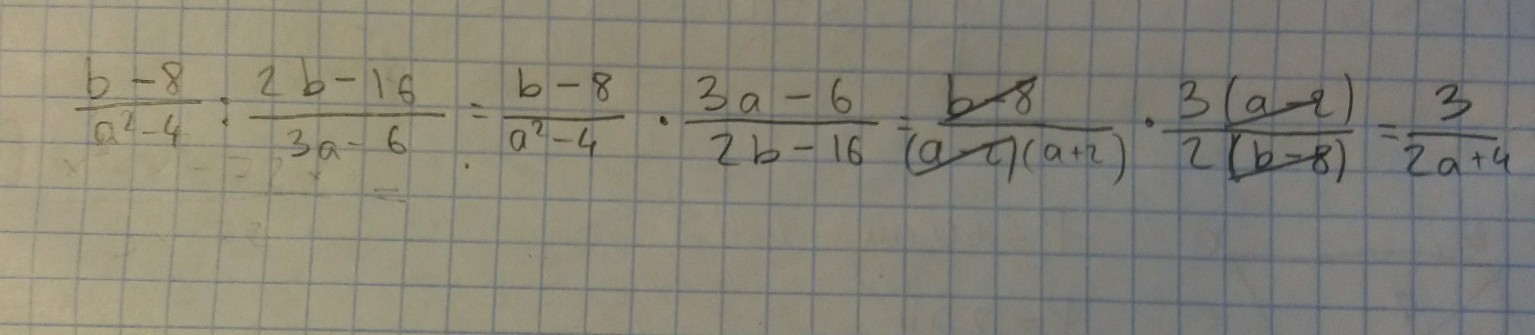
Решение во вложении:
Приложения:

Вас заинтересует
2 года назад
3 года назад
3 года назад
9 лет назад
9 лет назад
9 лет назад