• Предмет: Алгебра
  • Автор: romashkimipfenjg
  • Вопрос задан 8 лет назад

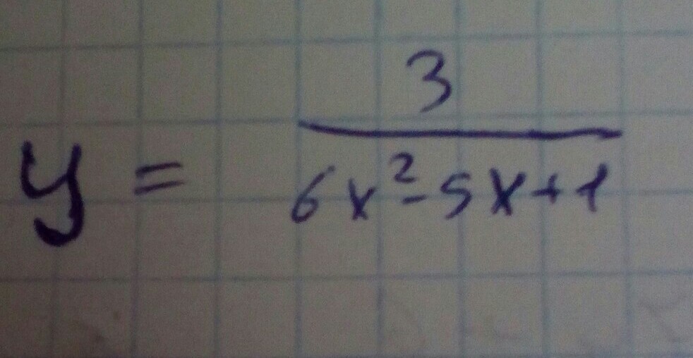
ОЧЕНЬ СРОЧНО!! 25 баллов!Найдите область определения функции:

Приложения:

Ответы

Ответ дал: AntVa
0

на ноль делить нельзя:

6x²-5x+1≠0;

D=25-4*6=1;

x₁=(5+1)/12≠1/2;

x₂=(5-1)/12≠1/3;

x ∈ (-∞;1/3;)∪(1/3;1/2)∪(1/2;∞);

Вас заинтересует