• Предмет: Математика
  • Автор: Dvikrlgrlthrlhrhrh
  • Вопрос задан 8 лет назад

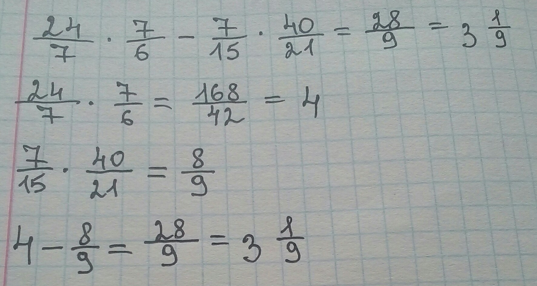
Найдите значение выражения
frac{24}{7} · frac{7}{6} - frac{7}{15} · frac{40}{21}

Ответы

Ответ дал: wturm
0

frac{24}{7} times frac{7}{6} -frac{7}{15} times frac{40}{21} =  frac{4 times 6 times 7}{7 times 6}  -  frac{7 times 5 times 4 times 2}{3 times 5 times 3 times 7}  = 4 -  frac{8}{9}  = 3 frac{1}{9}
Ответ дал: JacquesWebster
0
Привет, можете помочь? - https://znanija.com/task/30197570
Ответ дал: Dvikrlgrlthrlhrhrh
0
То есть, 4-8=4=3/1, да?
Ответ дал: Diana234558
0
4-8/9=3 1/9
Ответ дал: Diana234558
0
Решение на фотографии
Удачи :) :)
Приложения:
Вас заинтересует