• Предмет: Алгебра
  • Автор: WizMix
  • Вопрос задан 8 лет назад

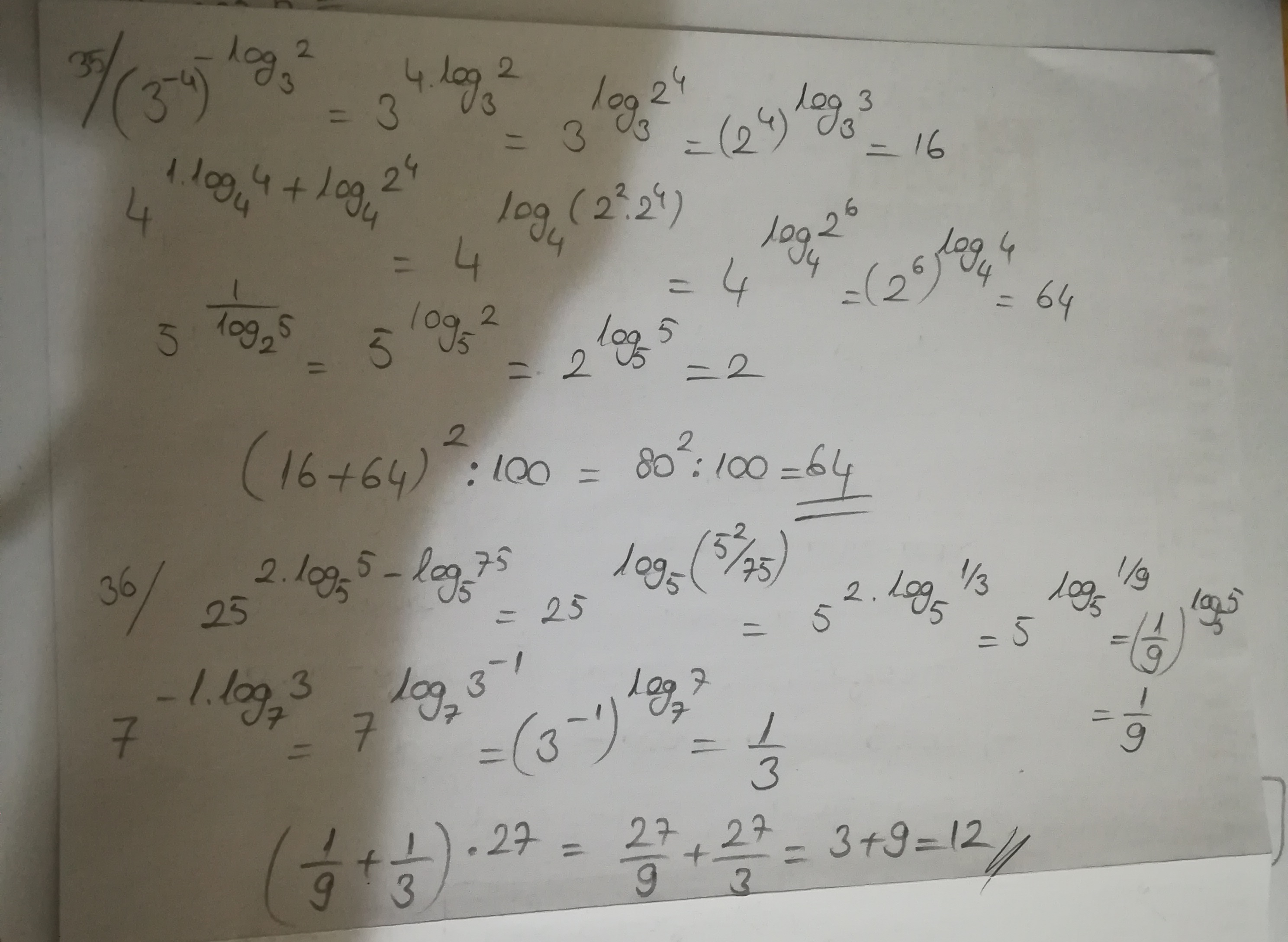
(((1)/(81))^(-log _(3)2)+4^(1+4log _(4)2))^((1)/(5log _(2)5)):100

Приложения:

Ответы

Ответ дал: Mirage86
0

I hope this helps you

Приложения:
Ответ дал: valenivan
0

Решение задания приложено

Приложения:
Вас заинтересует