• Предмет: Алгебра
  • Автор: oksik97
  • Вопрос задан 11 лет назад

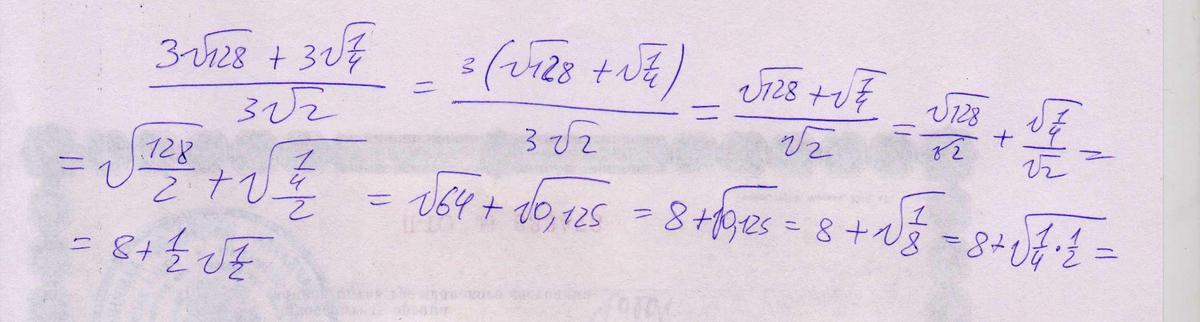
(3√128+3√1/4):3√2 помогитеее

Ответы

Ответ дал: Hiroman
0
Решение в прикрепленном файле.
Приложения:
Вас заинтересует