Ответы
Ответ дал:
0
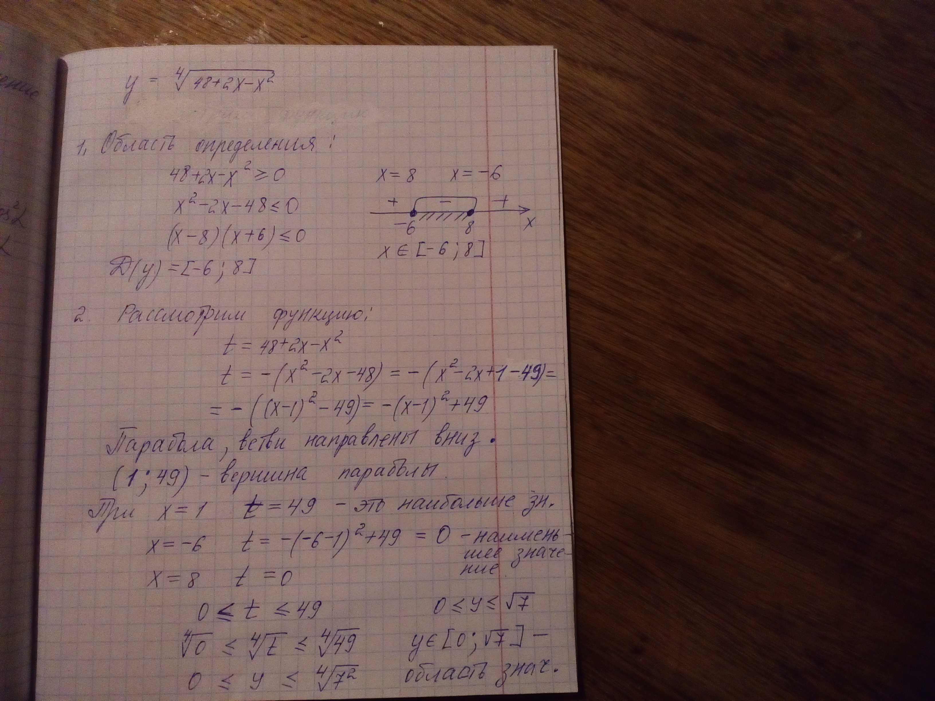
ОДЗ:
48+2x-x²≥0 |×(-1)
x²-2x-48≤0
x²-2x-48=0 D=196 √D=14
x₁=8 x₂=-6 ⇒
(x-8)(x+6)≤0
-∞______+_____-6_____-______8_____+______+∞.
x∈[-6;8].
Теперь преобразуем функцию под корнем:
48-2x-x²=-(x²-2x-48)=-(x²-2x+1-49)=-((x-1)²-49)=-(x-1)²+49 ⇒
Парабола смещена по оси ОХ на 1 вправо и поднята по оси ОУ на 49, то есть координата вершины параболы (1;49).
y≥0 (⁴√1;⁴√49)=(1;⁴√7²)=(1;√7)
Ответ: у∈[0;√7].
Ответ дал:
0
!!!!!!!!!!!!!!!!!!!!!!!!!!!
Приложения:

Вас заинтересует
2 года назад
3 года назад
3 года назад
9 лет назад
9 лет назад
9 лет назад