Ответы
Ответ дал:
0
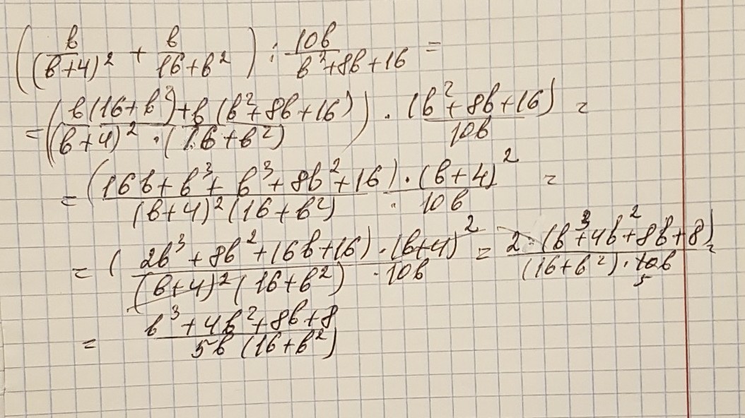
решение задания смотри на фотографии
Приложения:

Ответ дал:
0
А ответ где?
Ответ дал:
0
В конце и есть ответ.
Ответ дал:
0
Вы скорее всего ошиблись в условии. Должно быть в знаменатель 16-х^ вместо 16+х^2.Тогда ответ был бы другой.
Ответ дал:
0
извиняюсь,16-в^2
Вас заинтересует
2 года назад
2 года назад
3 года назад
3 года назад
9 лет назад