Помогите подобрать формулу для графика в экселе. Нужна именно формула, для построения графика!!!

Приложения:

Ответы

Ответ дал: Аноним
0

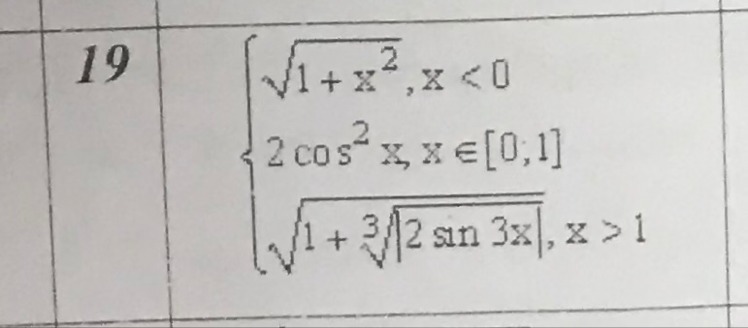
=ЕСЛИ(A1 < 0; КОРЕНЬ(1+A1^2); ЕСЛИ(A1 > 1; КОРЕНЬ(1 + ABS(2 * SIN(3*A1)^(1/3))); 2 * COS(A1) ^ 2))

В столбце A - значения x, в B = результат, при построении графика просто выделяешь их в момент выбора значений.

Ответ дал: Аноним
0
В A положи иксы, а в B вбей преобразованную формулу: =КОРЕНЬ(64 - A1^2) * 5 / 8.
Ответ дал: Аноним
0
Потому что тут явно от тебя не требуется трёхмерный график строить. Просто надо вывести игрек из уравнения.
Ответ дал: remenersi3
0
Господи, какой ты умный
Ответ дал: remenersi3
0
Я завтра тогда уже попробую
Ответ дал: Аноним
0
Давай. Только что построил. Это эллипс. Нужно ещё один график там же построить - такой же, но со знаком минус. Иксы - от -8 до 8.
Вас заинтересует