1) расскажите как измеряется площадь многоугольника
2) как вычислить площадь прямоугольного треугольника по его катетам?
3) приведите примеры пифогоровых треугольников
4) какая формула площади треугольника называется формулой Герона? Выведите формулу
Ответы
Ответ дал:
0
1)Если многоугольник произвольный, то из одной вершины проведите все диагонали и найдите площадь каждого получившегося треугольника. Результаты сложите. Если многоугольник правильный, то существуют формулы для каждого отдельного случая. Но можно вывести и общую формулу, зависящую от количества сторон.
2)Площадь прямоугольного треугольника равняется половине произведения катетов.
3) Пифагоровыми треугольниками называют класс прямоугольных треугольников, длины сторон которых выражаются натуральными числами. А тройки таких чисел называются пифагоровыми тройками.
Например, 3, 4, 5
5, 12, 13
8, 15, 17
20, 21, 29
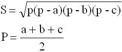
4)Треугольник образуется соединением отрезками трех точек, не лежащих на одной прямой. При этом точки называются вершинами треугольника, а отрезки - его сторонами. (+фото)
---
Подпишись пжжж=)
2)Площадь прямоугольного треугольника равняется половине произведения катетов.
3) Пифагоровыми треугольниками называют класс прямоугольных треугольников, длины сторон которых выражаются натуральными числами. А тройки таких чисел называются пифагоровыми тройками.
Например, 3, 4, 5
5, 12, 13
8, 15, 17
20, 21, 29
4)Треугольник образуется соединением отрезками трех точек, не лежащих на одной прямой. При этом точки называются вершинами треугольника, а отрезки - его сторонами. (+фото)
---
Подпишись пжжж=)
Приложения:

Вас заинтересует
2 года назад
3 года назад
9 лет назад
9 лет назад
9 лет назад