Тело массой 2 кг начинает двигаться по действием силы F=2sint.Вычислите скорость тела в момент времени t=Pi(сек)
Ответы
Ответ дал:
0
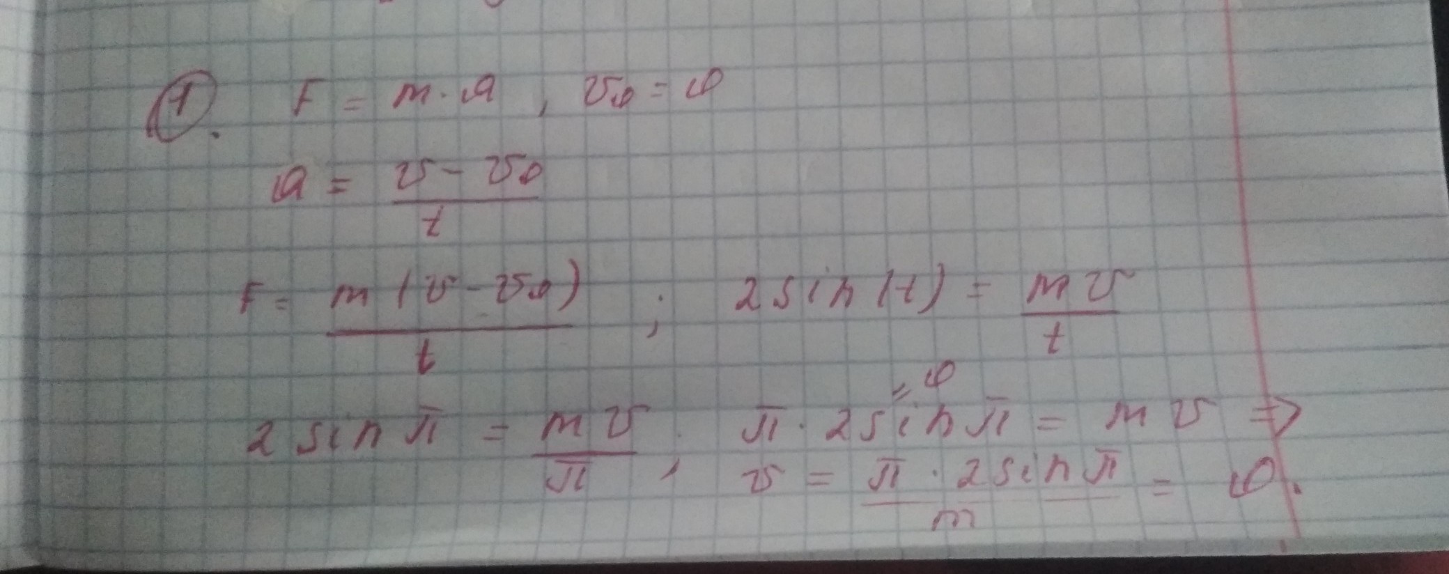
Второй закон Ньютона
F = ma
ma = 2sint
a = dv/t
v = 2tsint/m
t = пи
v = 2пи sin180 / 2 = 0 ( так как синус 180 это ноль)
Ответ дал:
0
Я забыл, как найти интеглах от функции xsinx
Ответ дал:
0
((((((((((((
Ответ дал:
0
иетерга от синуса (-сos(x)).
Ответ дал:
0
интергал.
Ответ дал:
0
интеграл.
Ответ дал:
0
v = 0.........................
Приложения:

Ответ дал:
0
прикол в том,что ответ 2 м/с
Ответ дал:
0
dv/dt=F/m=2sint/2=sint.
Ответ дал:
0
Потом берётся интеграл. Под интегралом sintdt. Пределы верхний пр
Ответ дал:
0
Верхний пи,нижний 0. Интеграл -cos. Подставляя пределы будет -сospi - (-cos 0)= -(-1)-(-1)=2.
Вас заинтересует
2 года назад
3 года назад
9 лет назад
9 лет назад