Ответы
Ответ дал:
0
решение на фотографии
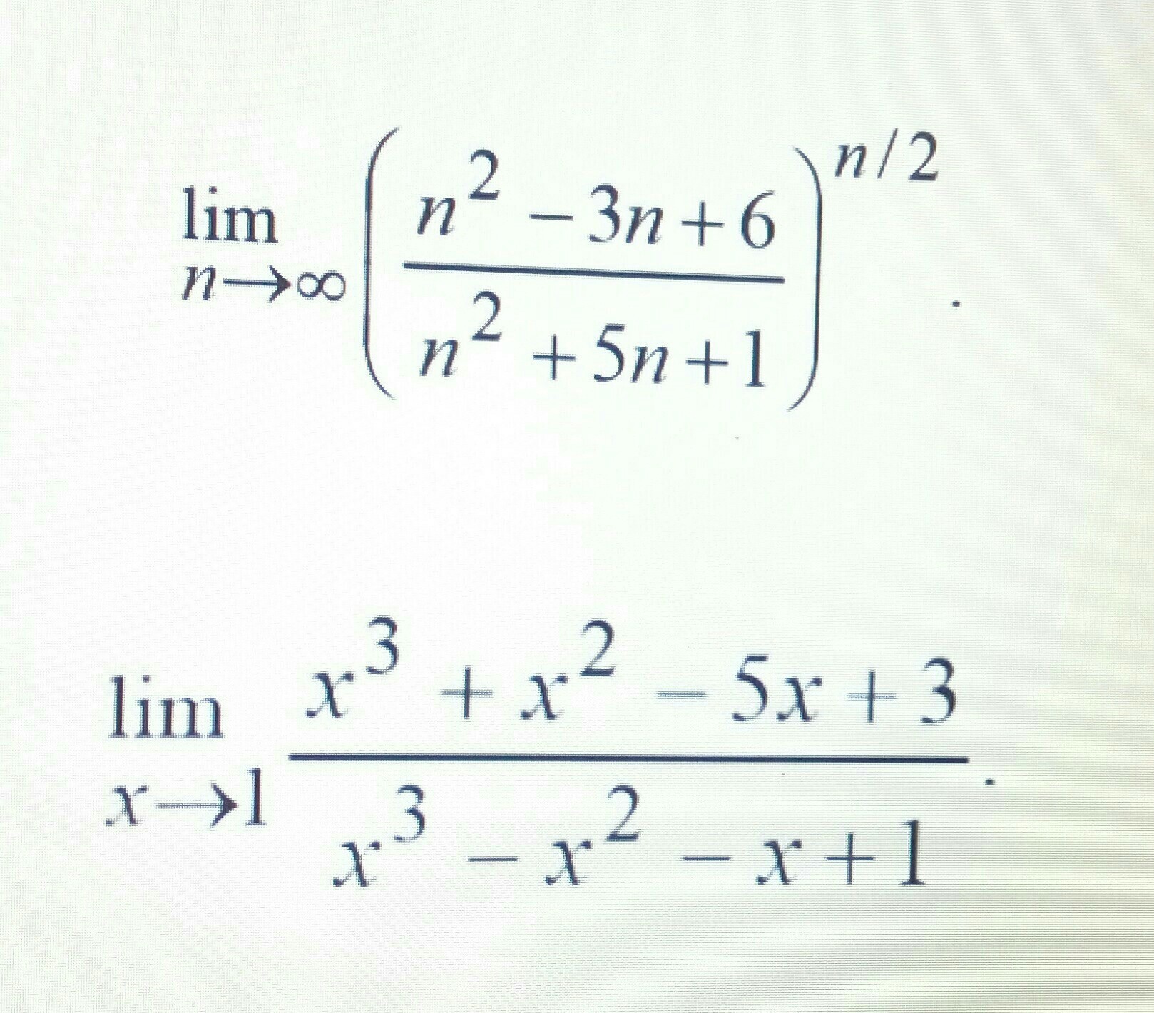
1) Тут конечно же 2 зам предел. Создаем искусственную e-шку но не забываем возвращать степени обратно так скажем.
Приложения:

Вас заинтересует
2 года назад
2 года назад
3 года назад
9 лет назад
9 лет назад