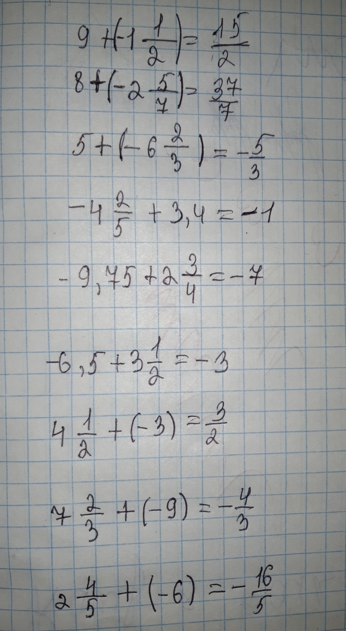
9+(-1 целая 1/2)
8+( - 2 целых 5/7
5 +( - 6 2/3)
- 4 целых 2/5 + 3,4
-9,75 + 2 целых 3 / 4
-6,5+3 целых 1/2
4 целых 1 / 2 + (-3)
7 целых 2 / 3 +(-9)
2 целых 4/5+(-6)
Ответы
Ответ дал:
0
лови:)))))))))))))))
Приложения:

Ответ дал:
0
так да?
Ответ дал:
0
Да Спасибо
Ответ дал:
0
не за что♡
Вас заинтересует
2 года назад
3 года назад
3 года назад
9 лет назад
9 лет назад
9 лет назад
9 лет назад