Ответы
Ответ дал:
0
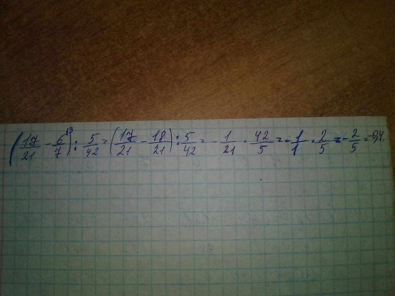
общий знаменатель в скобках приводим(17/21 -18/21)÷5/42
-1/21÷5/42=-1/21×42/5=-2/5=-0,4
-1/21÷5/42=-1/21×42/5=-2/5=-0,4
Ответ дал:
0
Решение на фотографии:
Приложения:

Вас заинтересует
2 года назад
3 года назад
9 лет назад
9 лет назад
9 лет назад
9 лет назад