• Предмет: Математика
  • Автор: karpukhinamaria17
  • Вопрос задан 8 лет назад

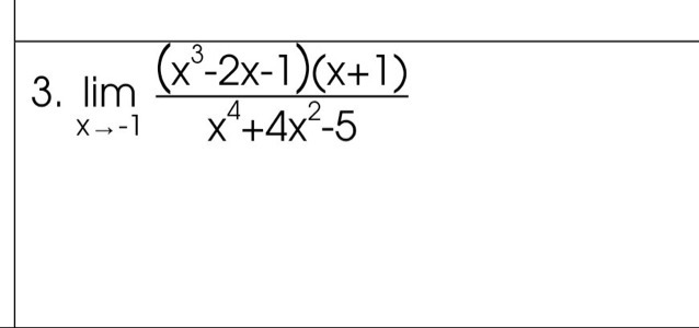
Помогите с lim, пожалуйста

Приложения:

Ответы

Ответ дал: Kulakca
0

Для начала пытаемся осуществить подстановку точки x=-1 в выражение. Если мы так сделаем, то получим frac{0}{0}, что не есть хорошо. Это необходимо устранить.

Для устранения разложим числитель и знаменатель на множители. Но числитель трогать пока не будем, а займемся знаменателем. Действуем таким образом:

x^{4}+4 x^{2} -5=x^{4} +4x^{2} -4-1=(x^{4} -1)+(4x^{4} -4)=(x^{4} -1)+4(x^{4} -1)=5(x^{4} -1)=5(x^{2} -1)(x^{2} +1)=5(x-1)(x+1)(x^{2} +1)


Сокращаем,после чего вновь подставляем -1:

lim_{x to -1} frac{(x^{3}-2x-1)(x+1) } {5(x-1)(x+1)(x^{2} +1)} = lim_{x to -1}  frac{x^{3}-2x-1}{5(x-1)(x^{2} +1)} =frac{(-1)^{3}-2(-1)-1} {5(-1-1)(1+1)}=0


Это значение предела.

Вас заинтересует