• Предмет: Физика
  • Автор: Alexandr16234
  • Вопрос задан 8 лет назад

√1-(v^2/c^2) Это что??

Приложения:

Ответы

Ответ дал: Dedagenn
0
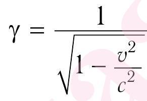
Фактор Лоренца Гамма=1/√[1-(v²/c²)]
Полагаю, лямбда=лямбда'*Гамма
Ответ дал: o2784913
0

Лоренцевый множитель


Приложения:
Вас заинтересует