Дам 30 баллов!
Помогите пожалуйста, очень-очень нужно!!!!
Прошу Вас!
Нужно решение и ответ
Приложения:

Ответы
Ответ дал:
0
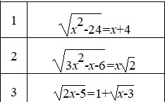
1.
Ответ: ∅
2.
x² - x - 6 = 0
По теореме Виета x₁ + x₂ = 1, x₁x₂ = -6 ⇒ x = -2; 3
Ответ: 3
3. ОДЗ:
Ответ: 3; 7
Ответ дал:
0
второй ОДЗ: |x|≥√24
Ответ дал:
0
А зачем его писать? При возведении обеих частей в квадрат справа будет какое-то выражение в квадрате, значит, слева будет что-то неотрицательное, то есть ОДЗ автоматически выполнится.
Ответ дал:
0
если он автоматически выполнился, откуда тогда не ответ x=-5 ?
Ответ дал:
0
Потому что значение корня не может быть отрицательным. Это я учёл при возведении в квадрат.
Ответ дал:
0
https://znanija.com/task/30207131
Вас заинтересует
2 года назад
2 года назад
3 года назад
3 года назад
9 лет назад
9 лет назад