Дам 40 баллов!
Помогите пожалуйста, очень-очень нужно!!!!
Прошу Вас!
Нужно решение и ответ
Приложения:

Ответы
Ответ дал:
0
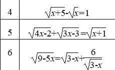
4. ОДЗ: x ≥ 0
Ответ: 4
5. ОДЗ:
Проверка:
Верно, корень подходит.
Ответ: 1
6. ОДЗ:
x₁ не удовлетворяет ОДЗ.
Ответ: -3
Ответ дал:
0
Спасибо большое!! А сможешь еще немножко порешать?
Ответ дал:
0
Посмотрю, что можно сделать
Ответ дал:
0
https://znanija.com/task/30207124
Вас заинтересует
2 года назад
2 года назад
3 года назад
9 лет назад
9 лет назад