Ответы
Ответ дал:
0
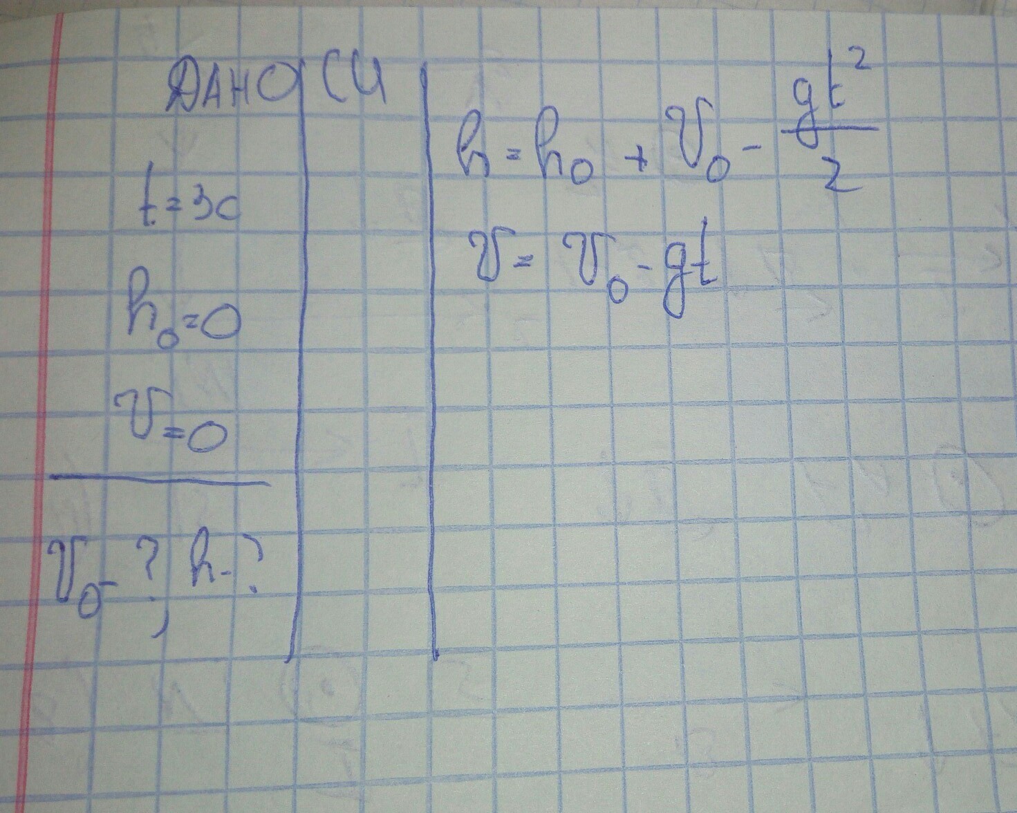
V=V0-gt
V0 = V + gt
Так как V = 0, то
V0 = gt
g ≈ 10 м/с²
t = 3c
V0 = 10 м/с² × 3 с = 30 м/с
h=(h0+V0×t) - ( (gt²) /2)
Так как h0 = 0, то
h= (V0×t) - (gt²)/2
h = (30 м/с × 3с) - (10м/с²×(3с) ²)/2 = 90 м - (10 м/с × 9с²/2)= 90 м - 45 = 45 м
V0 = V + gt
Так как V = 0, то
V0 = gt
g ≈ 10 м/с²
t = 3c
V0 = 10 м/с² × 3 с = 30 м/с
h=(h0+V0×t) - ( (gt²) /2)
Так как h0 = 0, то
h= (V0×t) - (gt²)/2
h = (30 м/с × 3с) - (10м/с²×(3с) ²)/2 = 90 м - (10 м/с × 9с²/2)= 90 м - 45 = 45 м
Ответ дал:
0
спасибо за доброту... у меня подход другой. Ошибаться нельзя. В начале ошибки в формулах а потом в работе при запуске Сюза ?
Ответ дал:
0
Билет зарезервирован. Я бы УДАЛИЛА такие "решения".
Ответ дал:
0
ну по правилам сайта надо удалить вопрос. Влпрос должен быть полным
Ответ дал:
0
короче я отметил вопрос
Ответ дал:
0
Пользователь сам начал решать и допустил ошибку, ее надо было исправить...
Ответ дал:
0
V₀=V+gt
V₀=0+10*3=30 (м/с)
h=0+30*3-10*3*3/2=45 (м)
Вас заинтересует
2 года назад
3 года назад
9 лет назад
10 лет назад