• Предмет: Алгебра
  • Автор: liza1984che
  • Вопрос задан 8 лет назад

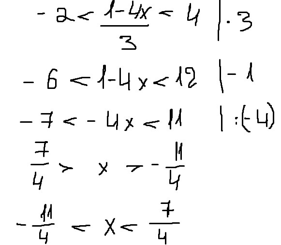
для которых значений аргумента значение функции у = 1 - 4 х / 3 больше - 2, но меньше 4.

Ответы

Ответ дал: csharp
0

Ответ

x ∈ (-11/4; 7/4)

Приложения:
Ответ дал: Universalka
0
В учебнике
Ответ дал: csharp
0
Видимо, плохо смотрел ))
Ответ дал: Universalka
0
Исправьте, пока есть возможность.
Ответ дал: csharp
0
Изменил.
Ответ дал: Universalka
0
Отлично)
Ответ дал: Universalka
0

-2< frac{1-4x}{3} < 4\\-2*3< frac{1-4x}{3}*3 <4*3\\-6<1-4x <12\\ -6-1<1-4x-1 <12-1\\ -7<-4x < 11\\-2,75<x <1,75

Ответ : x ∈ (- 2,75 ; 1, 75)

Приложения:
Вас заинтересует