• Предмет: Математика
  • Автор: nikaarina
  • Вопрос задан 8 лет назад

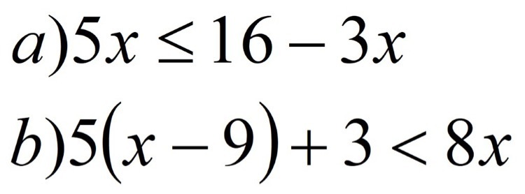
Пожалуйста решите два примера полным решением,не просто ответ.

Приложения:

Ответы

Ответ дал: andreilis48
0

A)

5x <= 16 - 3x

8x <= 16

x <= 2

B)

5(x-9) + 3 < 8x

5x - 45 + 3 < 8x

3x > -42

x > -14

Вас заинтересует