• Предмет: Математика
  • Автор: nikzhukov1996
  • Вопрос задан 8 лет назад

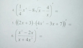
Нужно найти производные следующих функции, 20 баллов

Приложения:

Ответы

Ответ дал: Miroslava227
0
решение на фотографии
Приложения:
Ответ дал: nikzhukov1996
0
Очень вам благодарен
Вас заинтересует